
For years, bourbon enthusiasts have relied on weak arguments like:
“It’s rare.”
“They don’t make this anymore.”
“It’s basically an investment.”
But today, we move beyond emotional appeals and into hard science.
After extensive research conducted in garage bars and man caves across America, we are proud to unveil:

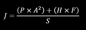
Where:
J = Justification Score
P = Proof (because higher proof = more serious purchase)
A = Age Statement (squared for dramatic emphasis)
H = Hype Coefficient (number of YouTube reviews × podcast mentions)
F = FOMO Multiplier (increases 10x if someone said “allocated”)
S = Spousal Skepticism Index (ranges from 1–100)
If J ≥ 1,500, the purchase is officially classified as “Financially Responsible.”
If J < 500, you should probably say it was “a store pick under MSRP.”
The higher the proof, the stronger your argument.
90 proof: “It’s nice.”
100 proof: “It’s classic.”
120+ proof: “This is basically artisanal.”
Bonus: If it’s labeled “Barrel Proof”, multiply by 1.2 for perceived masculinity.
Age is squared because:
Math sounds impressive.
No one questions exponentials in a kitchen debate.
Example:
10-year bourbon → 100 Justification Points
15-year bourbon → 225 Justification Points
“No Age Statement” → subtract 50 and change the subject
Calculate by:
+10 points per influencer saying “This is a must buy.”
+25 points if someone used the phrase “absolute banger.”
+50 points if a Facebook group argues about it daily.
+100 points if someone says, “I know what I’ve got.”
This is the most volatile part of the formula.
Scenario (FOMO Multiplier)
Saw it once on a shelf (2x)
Store clerk whispered about it (5x)
“Limited to 3 barrels” (8x)
Someone else bought the last one (12x)
If you hesitated and someone else grabbed it, F automatically increases to 15x and logic no longer applies.
This is the denominator. It is dangerous.
Typical values:
“Oh nice, another bottle?” → S = 3
“How much was it?” → S = 12
“Didn’t you just buy one?” → S = 25
Slow silent stare → S = 75
If S exceeds 80, abandon formula and deploy backup strategy:
“I bought two. One to open.”
You purchase a:
12-year
124 proof
Limited release
Mentioned by 7 YouTubers
Sold out instantly
Spousal Skepticism Index: 18
Calculation:
P = 124
A² = 144
H = (7 × 10) = 70
F = 10 (sold out instantly)
S = 18

This purchase is defensible with mild eye contact.
Explain that bourbon:
Doesn’t depreciate (do not check charts)
Is a hedge against inflation
Performs better than bonds
Is easier to store than rental property
Say this confidently while rearranging bottles on the shelf.
Refer to the bottle as:
“A long-term asset”
“A diversification play”
“A rare tangible”
Avoid opening it for at least 48 hours to preserve credibility.
This is the holy grail of justification.
Even if the sale happened 18 months ago.
If confronted with:
“You paid HOW much?”
“We could have taken a weekend trip.”
“You already have 200 bottles.”
Immediately pivot to:
“It drinks below its proof.”
No one knows what that means. It buys time.
At the end of the day, bourbon justification is less about math and more about tone.
Stand tall.
Speak calmly.
Reference scarcity.
Mention secondary value casually.
And remember:
If the Justification Score dips too low, simply say:
“It was basically MSRP.”
Science supports this.
If 2025 taught us anything, it’s that the bourbon market doesn’t pause. Drop season is now year-round, bottles hit the secondary before receipts cool, and the gap between hype and heritage has never been wider.
Navigating that requires more than instinct—it requires truth in numbers. The same approach that recently earned Bourboneur recognition from Forbes.
That’s why we built the Bourbon Blue Book®. With live, verified secondary sales data on over 9,500 bottles, it exists to help you avoid overpaying for shelf noise—or missing the undervalued gems hiding in plain sight.
Inside the Bourboneur app, you get:
Real-Time Market Data – No guesswork. Just what bottles are actually selling for.
The Blue Book Advantage – At $3/month or $25/year, it pays for itself the first time you walk away from a bad deal.
A Growing Community – Thousands of collectors using data—not hype—to stay Whiskey-Wise.
Whether you’re hunting a 16-year Old Commonwealth or pricing a fair trade, don’t fly blind in 2026.
📲 Download the app on iOS or Android.
📩 Subscribe below for our weekly insider email.
📷 Follow along on Instagram, Facebook, and TikTok.
That’s Bourboneur.
.png)

0 Comments